---吉他福-写歌方法:四个和弦发展成八小节-源内容页面---

写歌方法:四个和弦发展成八小节   乐理知识     老贾/吉他福   发布时间:2017/3/24 16:32:00   阅读次数: 699       支持 5       中立 6       反对 3   语速:
进度:
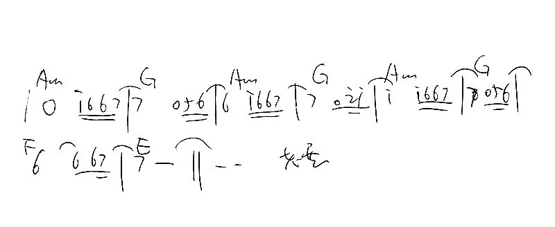
四个和弦就写四个小节,就会显得篇幅很不够丰满,比如四个和弦:Am-G-F-E,就可以这么做:

Am-G- Am-G- Am-G- F-E

这样写出的乐段就丰满多了,方法就是前两个和弦重复三遍,在用最后两个和弦终止和回转。

  支持👍 5       中立👌 6       反对👎 3  

=================================

- - - 新人注册领红包,每天签到领福币 - - -